Aggiornamento agosto 2024: la rete Bee-rap viene da ora in poi utilizzata per redigere il Bollettino API dedicato al settore apistico pubblicato sul sito della Regione Piemonte. Le informazioni della Rete verranno pubblicate quindi, da ora in poi, direttamente sul portale a questo indirizzo: (link non diretto, è necessario cliccare su “La bacheca dei bollettini” e poi su “Bollettino API”): https://www.regione.piemonte.it/web/temi/agricoltura/servizi-fitosanitari-pan
Informazioni relative a BEE-RAP ovvero: Rete di rilevamento dati apistici ambientali Piemonte. Questa rete è realizzata da Aspromiele come ulteriore servizio per i propri associati e si compone di una serie di punti dislocati sul territorio regionale dove vengono costantemente monitorati i parametri ambientali e quelli di sviluppo degli alveari come il peso.
L’obiettivo è conoscere meglio i parametri climatici che influiscono sullo sviluppo degli alveari nelle diverse zone del Piemonte; parallelamente, si vogliono anche registrare dati oggettivi al fine di poter dialogare con le istituzioni.
E’ prevista una comunicazione periodica a livello provinciale e altimetrica dei raccolti/consumi degli alveari.
Alla rete BEE-RAP convergono anche i dati delle bilance che partecipano a altri progetti coordinati da Aspromiele, tra i quali ad esempio i progetti di Biomonitoraggio ambientale.
Ogni apicoltore potrà consultare i propri dati su una piattaforma di proprietà di Aspromiele che garantisce la sicurezza della proprietà e della riservatezza del dati.
Chi volesse aderire al progetto può contattare il tecnico Aspromiele di zona.
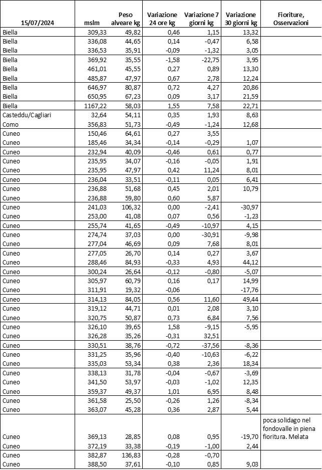
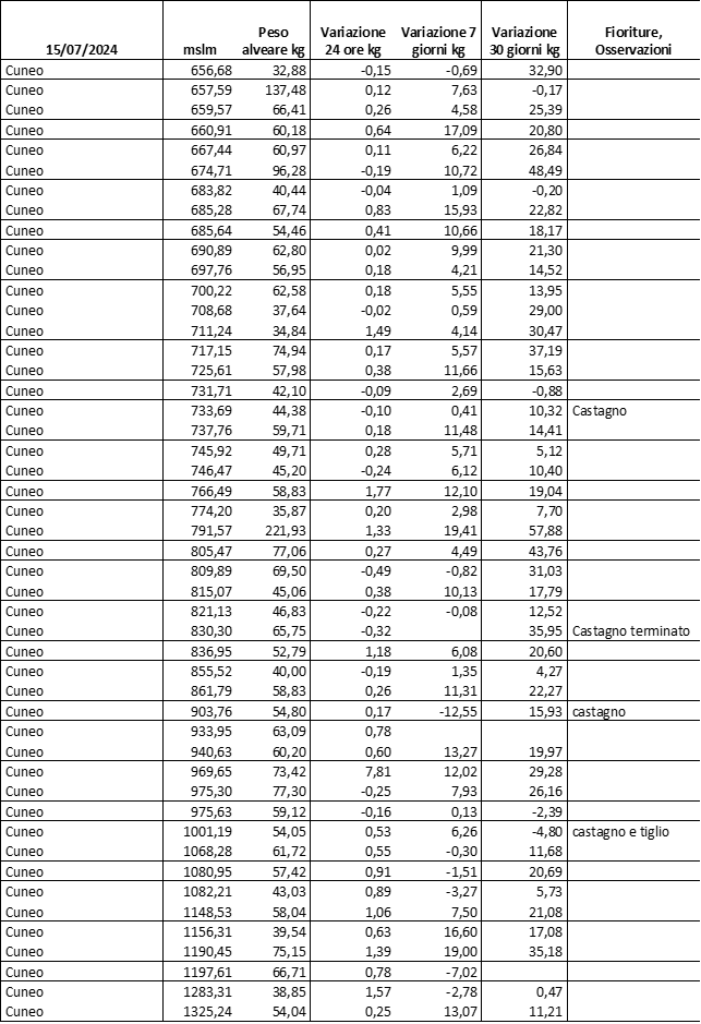
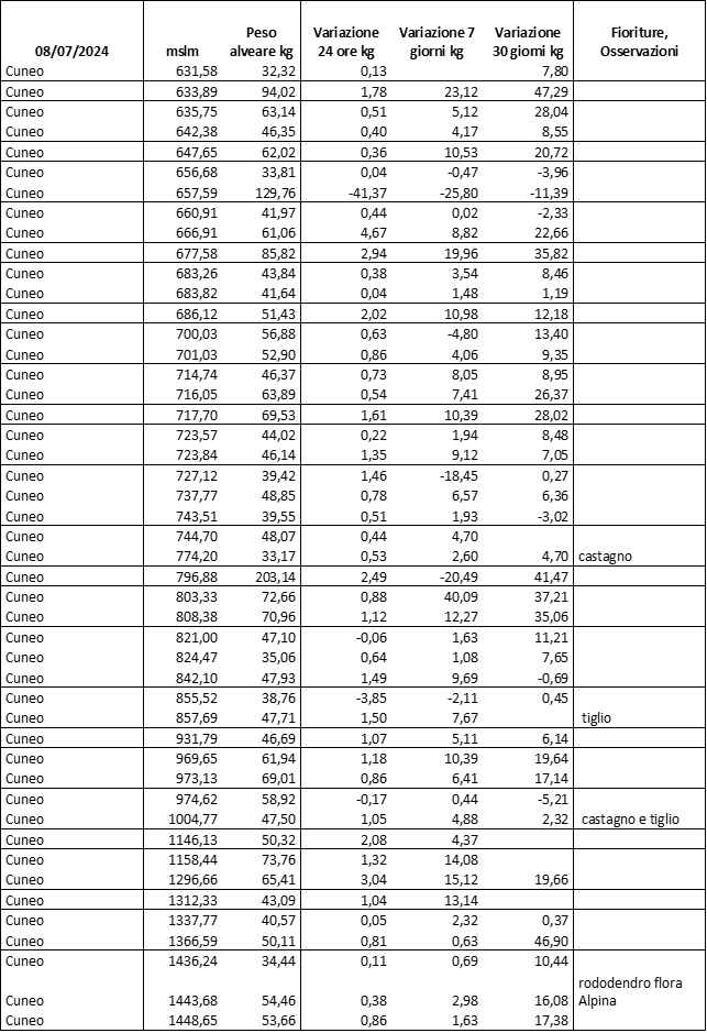
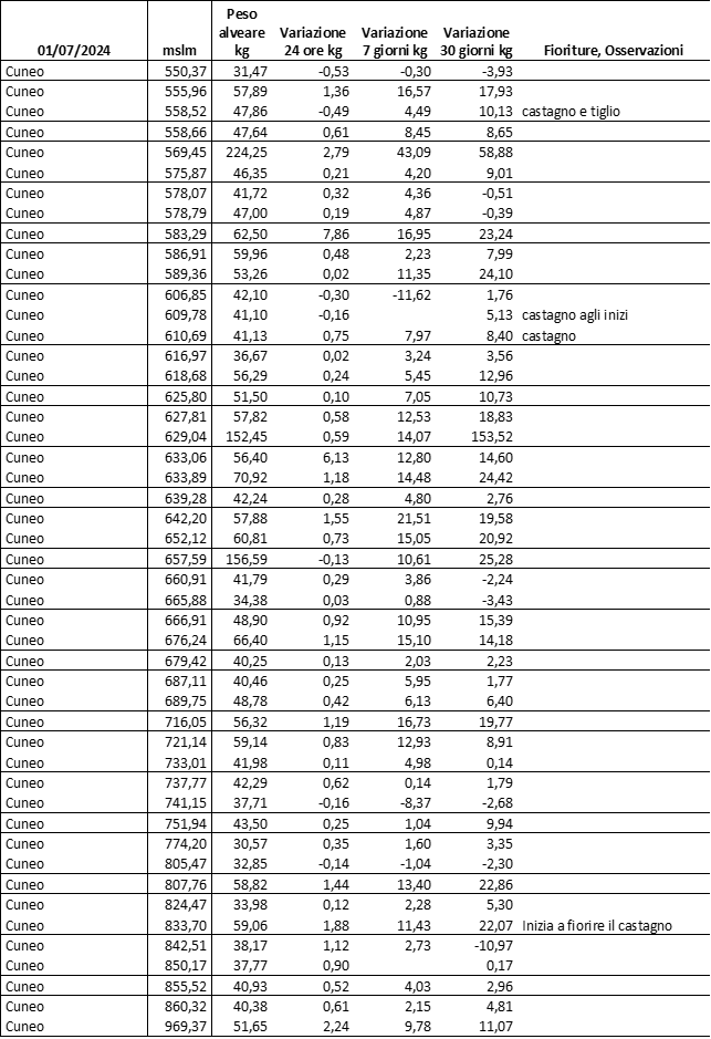
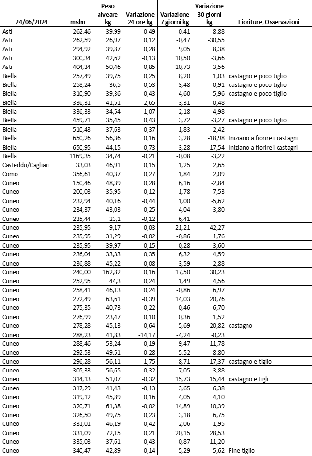
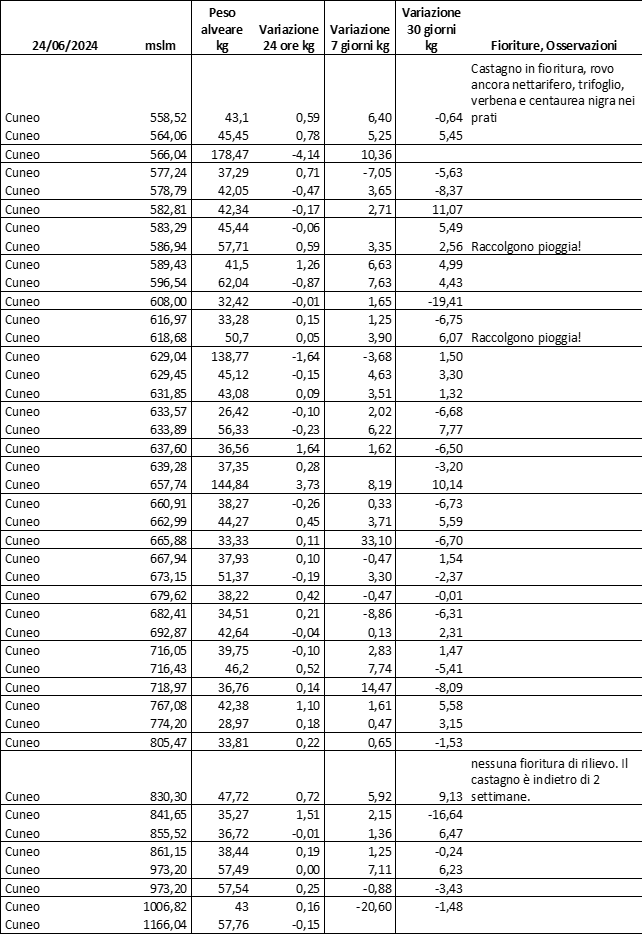
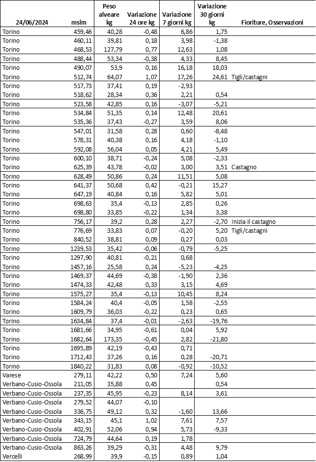
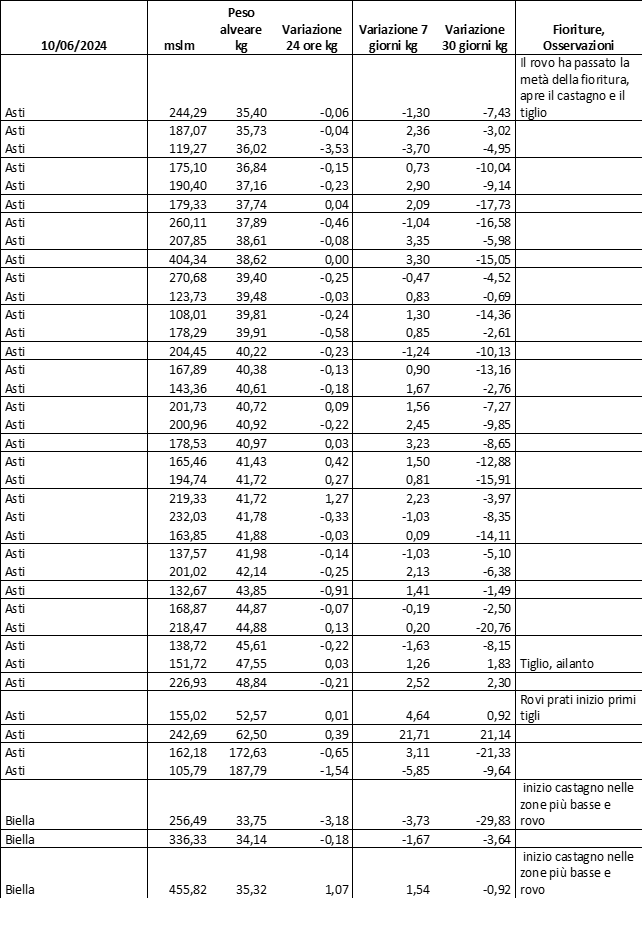
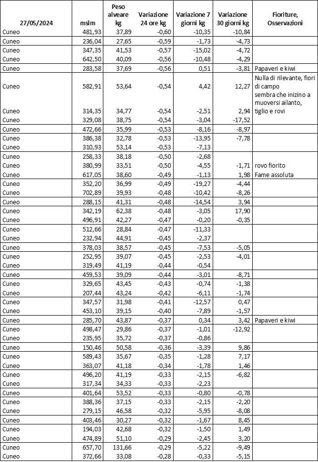
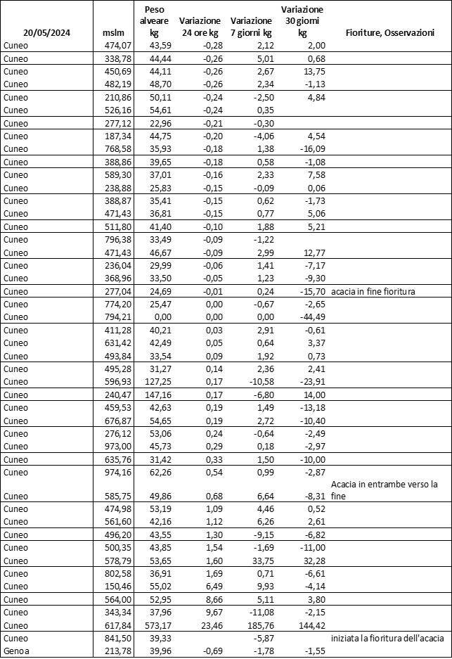
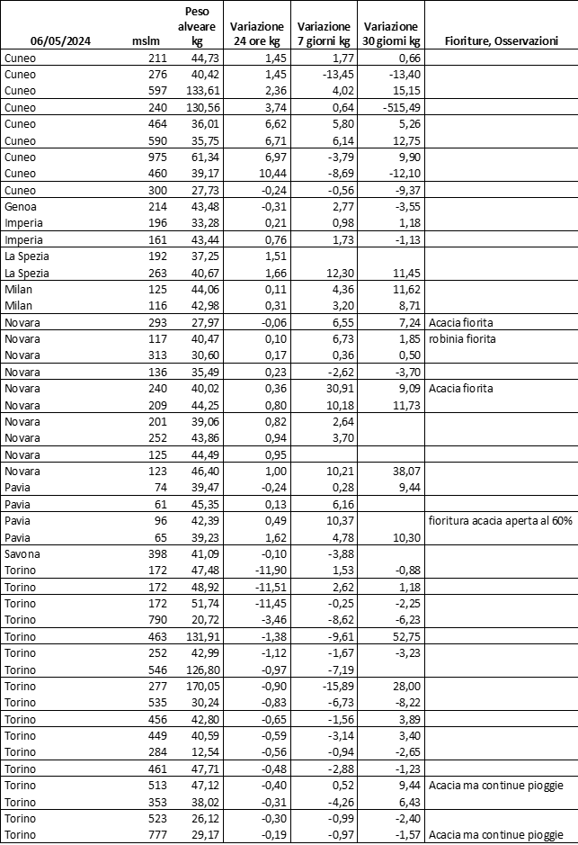
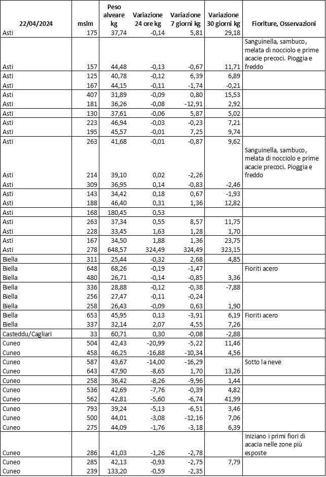
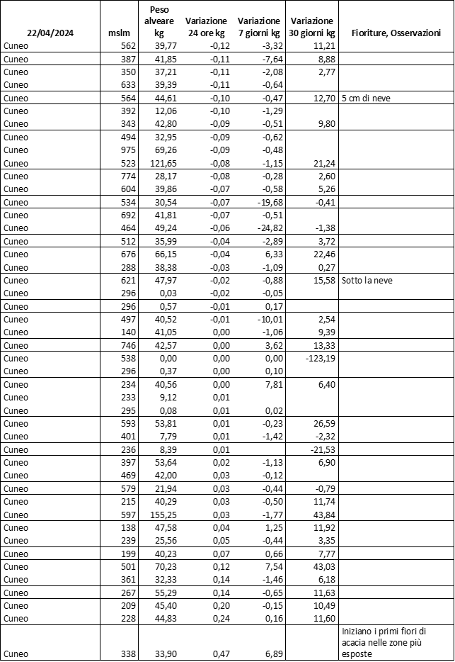
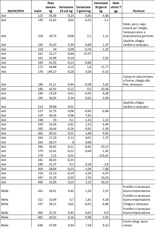
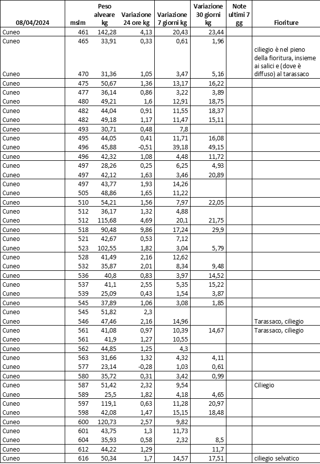
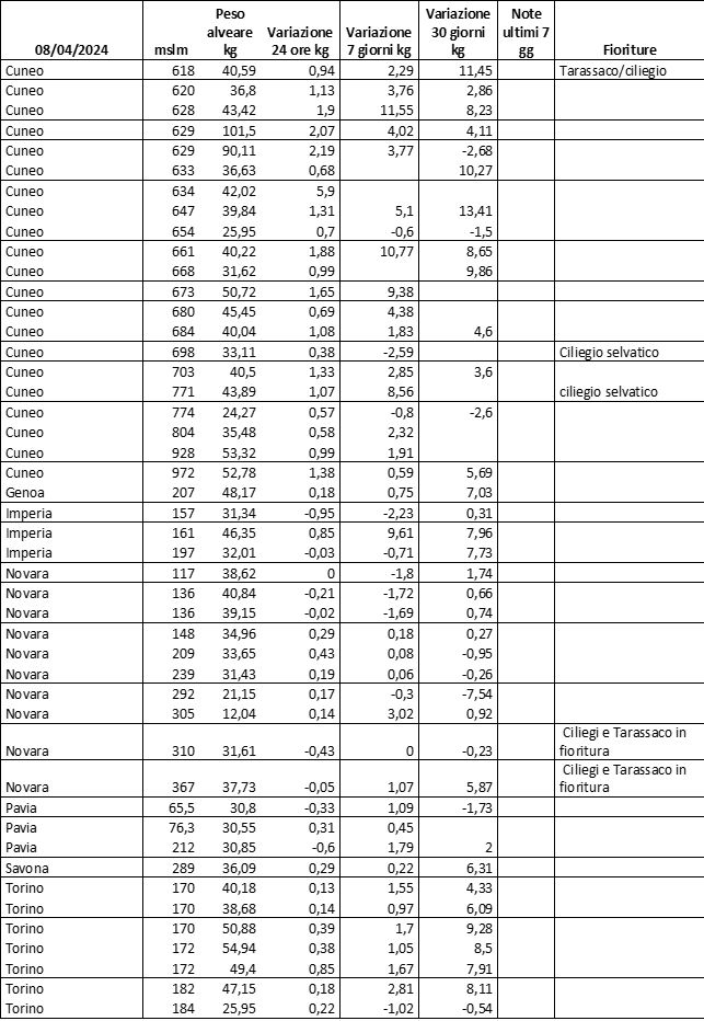
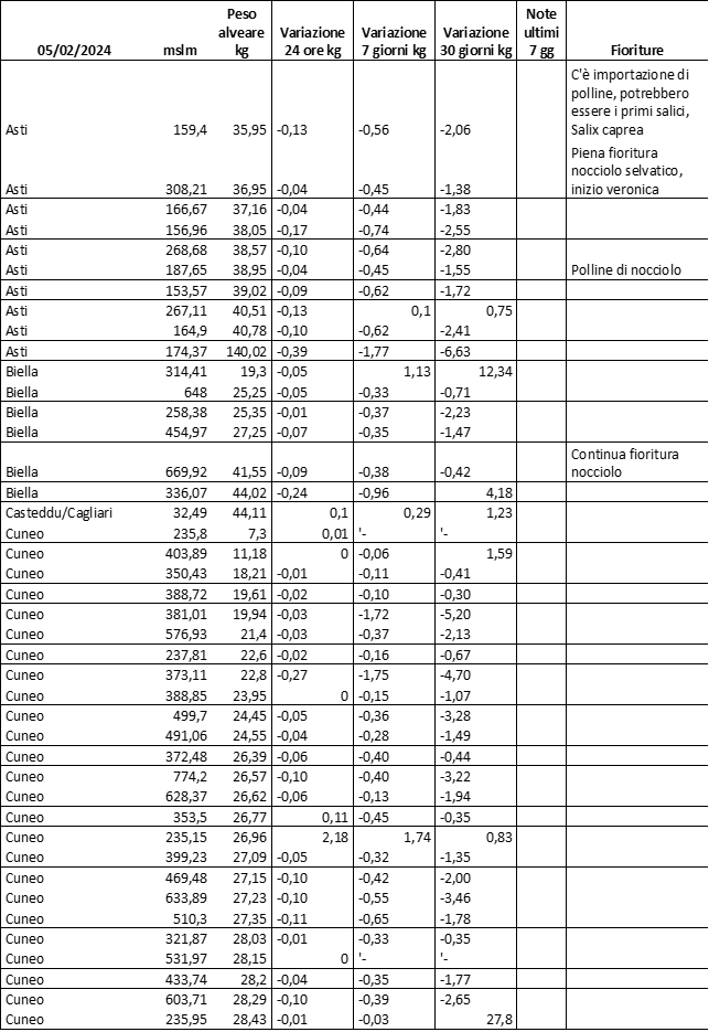
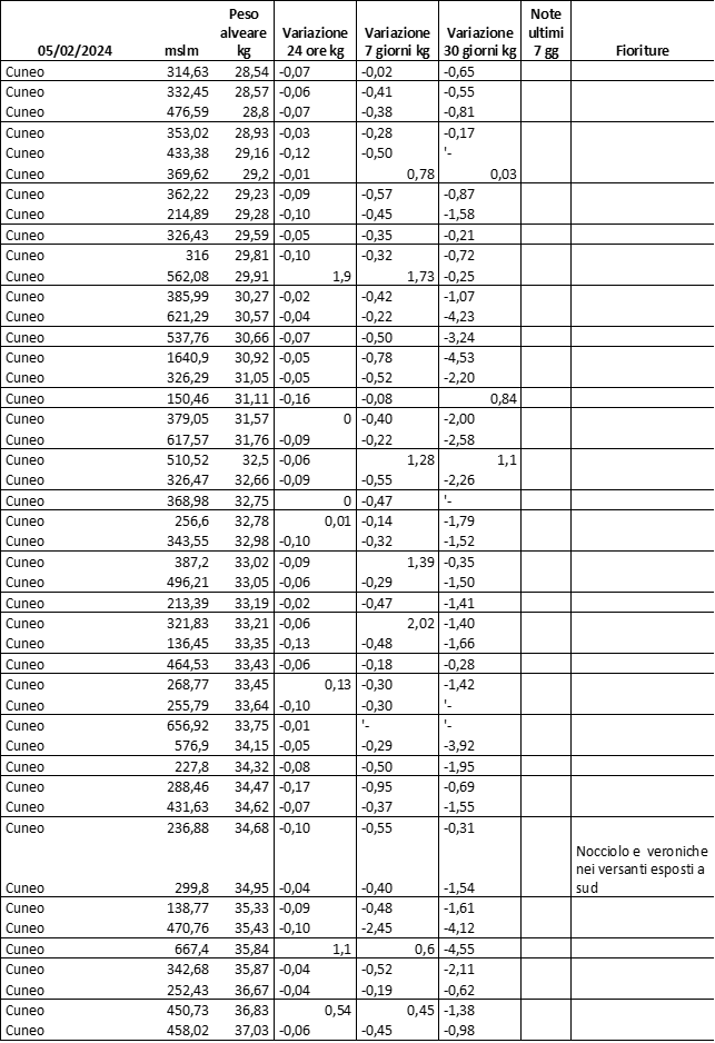
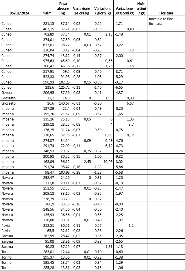
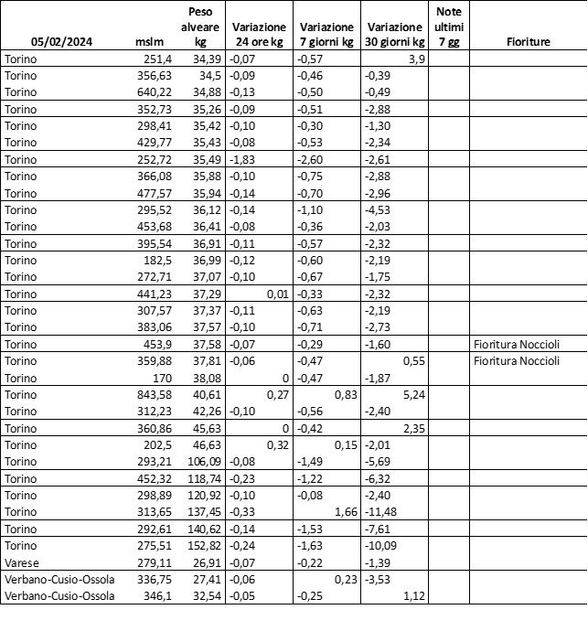
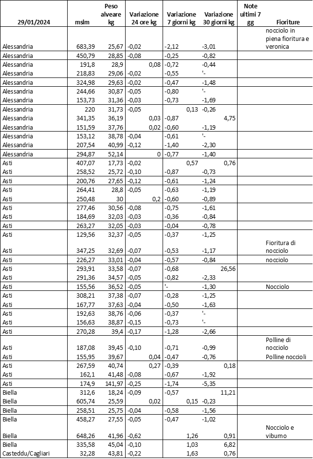
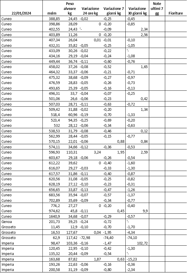
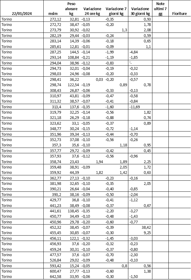
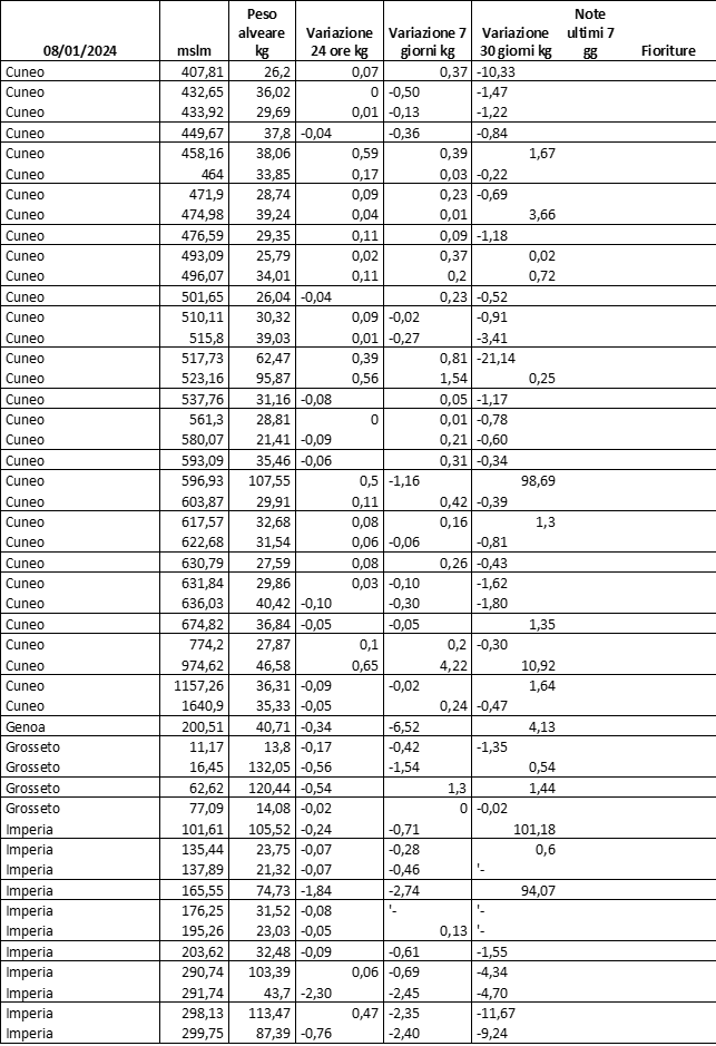
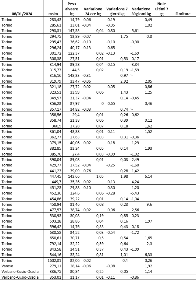
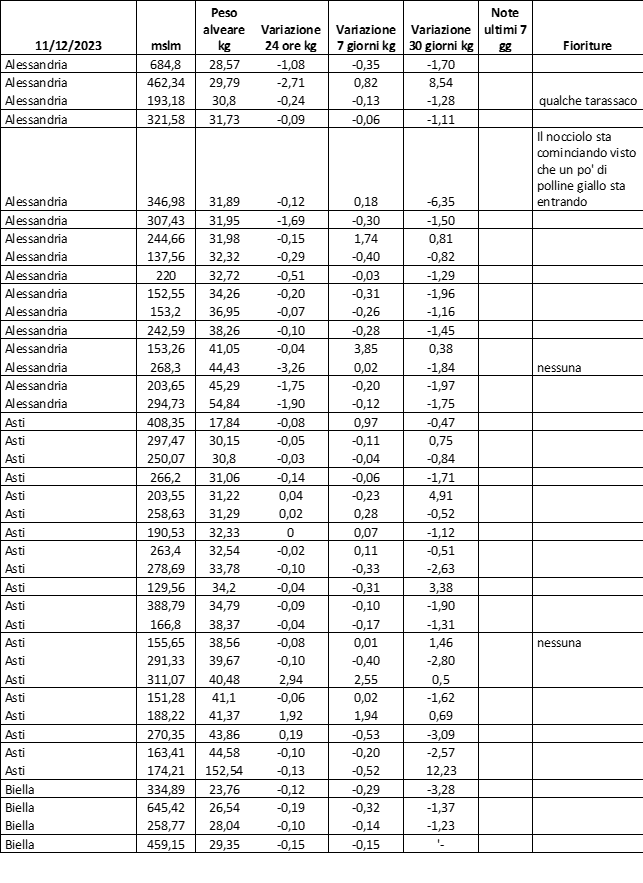
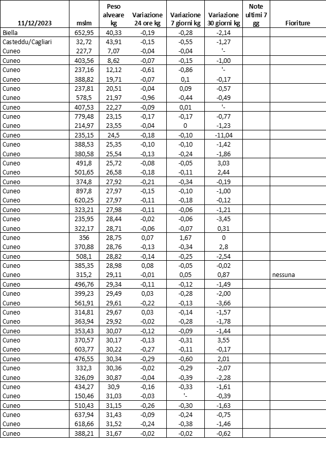
Di seguito le tabelle degli ultimi rilevamenti (dati fino al 15 luglio 2024; per consultare i dati successivi collegarsi al sito: (link non diretto, è necessario cliccare su “La bacheca dei bollettini” e poi su “Bollettino API”): https://www.regione.piemonte.it/web/temi/agricoltura/servizi-fitosanitari-pan












































































































































































































































































































































































































































































































